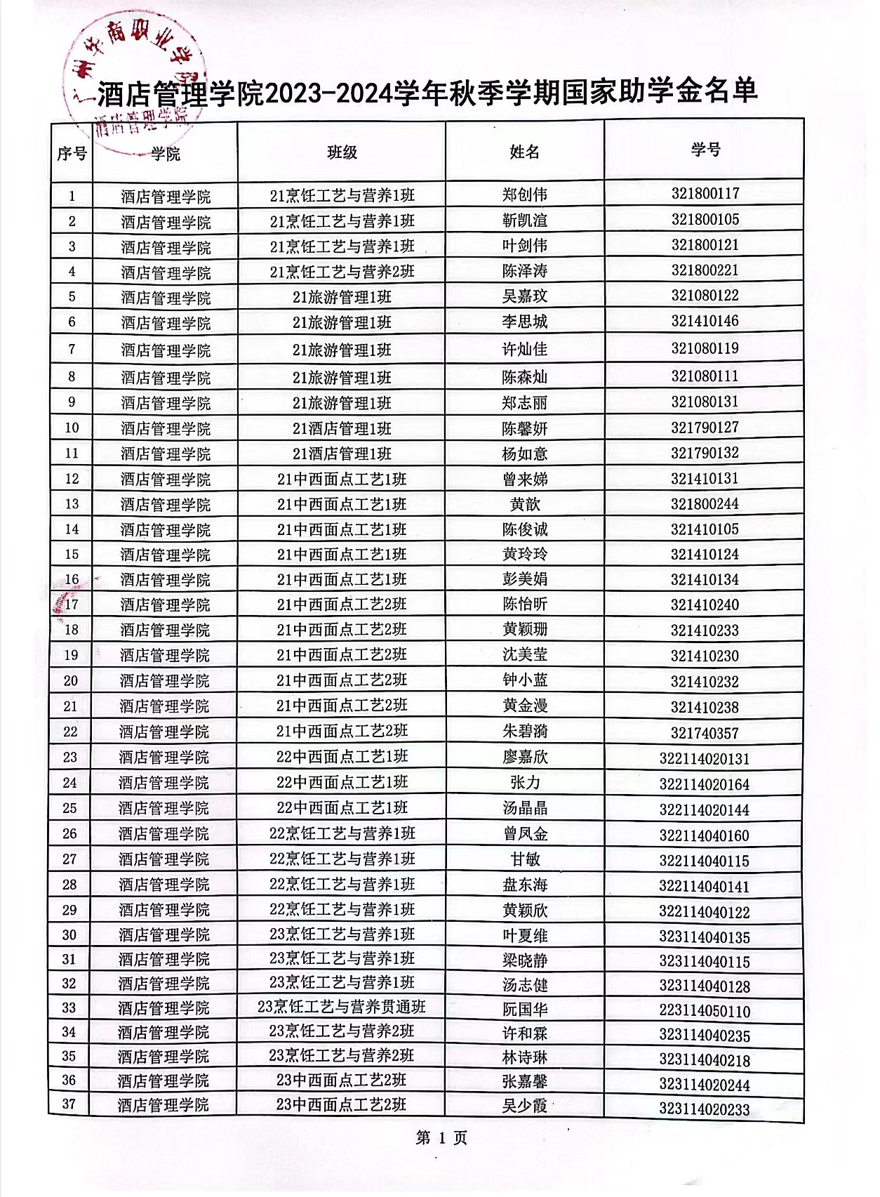
按照《广东省教育厅关于做好2023年秋季学期学生资助工作的通知》文件精神,经学校资助工作安排,依照国家助学金评定办法,经过学生申请、学院评审工作小组审核等程序,我院共63人参与贫困认定,其中被认定为不困难26人,一般困难16人,困难3人,特别困难18人。经学院评审工作小组研究决定,推荐郑创伟等37位同学作为酒店管理学院2023年秋季学期国家助学金获得者。现将名单公示如下:

公示时间:2023年10月25日-2023年10月27日
办公地点:创新楼105
如有异议,请在公示期内向陈海宁老师反映。
酒店管理学院
2023年10月25日